湛江中心人民医院

健康湛江

医院电话

0759-3157999

湛江中心人民医院

用活体骨和皮肤光学清除技术比较缺氧时皮层和皮肤血管血流动力学的变化

作者: 临床医学研究所 来源: 临床医学研究所 编辑: 王 倩 发布时间: 2021-11-05 点击数: 3469


       目前,生物医学成像平台负责人与华中科技大学朱?教授合作成果发表在IEEE Journal of Selected Topics in Quantum Electronics。该研究是基于激光散斑-高光谱双模成像系统及活体组织光透明技术,实现了皮层及皮下血管的高分辨成像(图 1),并定量分析缺氧对脑和外周皮肤微血管血流/血氧功能的影响。如图1所示,利用在体皮肤/颅骨光透明技术,外周皮肤及皮层血管清晰可见,结合激光散斑-高光谱双模成像系统,可高分辨地获取血流及血氧信息,动静脉血管也可进行有效的分割。

图1. 在体颅骨/皮肤光透明窗用于皮层/皮肤血管的血流/血氧的可视化研究

       进一步地,我们动态监测正常、缺氧以及复氧过程中皮层血流及血氧的变化规律(图2)。发现正常情况下皮层的血流及血氧保持相对稳定。缺氧刺激下,动静脉血氧水平迅速下降后趋于平缓,而动静脉血流则缓慢持续下降。复氧后,皮层血管血氧水平迅速恢复至正常,血流则快速上升后逐渐恢复至正常水平。

图2. 缺氧/复氧条件下皮层血管血氧/血流的动态监测

       同时我们还动态监测了正常、缺氧以及复氧过程中皮肤血流及血氧的变化规律(图3)。发现正常情况下皮肤的血流及血氧也保持相对稳定。缺氧刺激下,动静脉血氧水平迅速下降后几乎保持不变,而动静脉血流则小幅地缓慢持续下降。复氧后,皮下动静脉血管血氧和血流逐渐恢复至正常。

图3. 缺氧/复氧条件下皮肤血管血氧/血流的动态监测

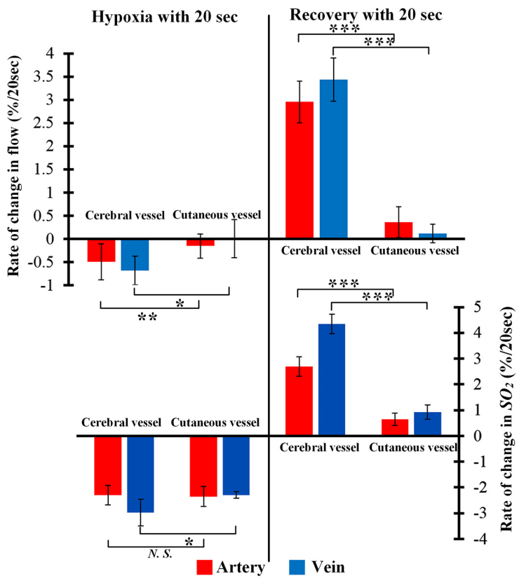
       进一步地,我们定量比较了皮层与皮肤动静脉血管在缺氧和复氧刺激下的瞬时变化规律(图4)。结果表明,缺氧条件下,皮层和皮肤动静脉的血流速度变化存在显著性差异,而血氧变化速度差异较小。复氧时,皮层血管的血流及血氧恢复速度均显著高于皮肤血管。

图4. 皮层与皮下动静脉血管的血流与血氧在缺氧时的变化速率与在复氧后的变化速率。

       上述研究结果表明,在缺氧刺激下,皮层与皮肤动静脉血管的血流及血氧变化规律是一致的,故外周血氧/血流的监测可能反应脑血氧/血流的异常变化,也说明在一些病理情况下外周皮肤微脉管的功能紊乱可能也与脑血管功能紊乱之间存在一定联系;在复氧条件下,出于大脑的保护机制,皮层血管的血流/血氧恢复优先于外周皮肤组织。

地址:广东省湛江市赤坎区源珠路236号(南门)、广东省湛江市赤坎区康宁路(北门)

医院电话:0759—3157999

邮编:524045

医院网址:www.dr0759.cn

版权所有:广东省湛江中心人民医院 Copyright 2008 dr0759.cn All Rights Reserved.网站备案号:粤ICP备11087513号